Projects

Jan 2026 - Mar 2026

Pursuit-Evasion Game Dynamics: Analysis

Individual Project · California Institute of Technology

Applying nonlinear dynamics theory — Lipschitz bounds, Lyapunov stability, ISS, and barrier functions — to formally analyze a two-agent pursuit-evasion game where a pursuer tries to intercept an evader before it reaches a protected zone.

Pursuit-Evasion Game Dynamics
Jan 2026 - Mar 2026

Optimal Retinal Ganglion Cell Allocation under Fixed Channel Budgets

Team Project · California Institute of Technology

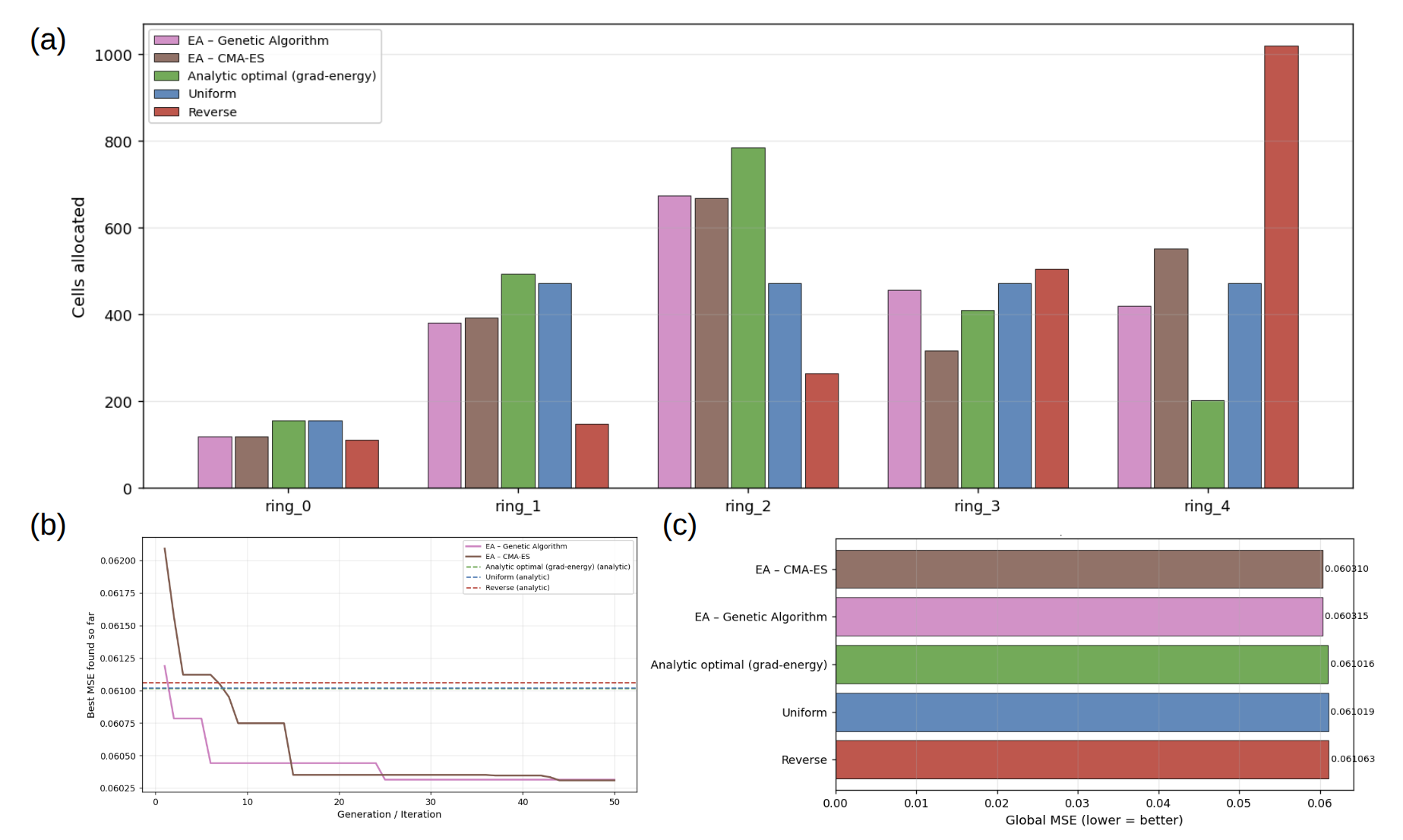
The primate retina must compress high-dimensional visual input into a limited number of RGC spike trains. Because the fovea dedicates 80% of ganglion cells to the central field, we hypothesize that nonuniform allocation is information-theoretically optimal. We model RGC distributions as a fixed-budget problem, treating cells as DoG receptive fields tiled via $k$-means Voronoi cells with center radius $\sigma_c = s\sqrt{A_i}$, and compare allocation strategies against rate-distortion theory, which predicts $n_i \propto c_i^{1/(1+p)}$. Across budgets $N = 8 \sim 8192$, gradient-energy-optimal allocation consistently yields the lowest reconstruction MSE, and evolutionary learning converges toward—and ultimately surpasses—the analytic optimum, supporting the hypothesis that the fovea's cell density reflects complexity-matched, rate-distortion-optimal coding.

RGC Allocation Figure 1 RGC Allocation Figure 2 RGC Allocation Figure 3
Jun 2025

To Think or Not to Think: Task-Dependent Reasoning for Event Prediction

Team Project · California Institute of Technology

We systematically investigate how reasoning budget affects MLLM performance on temporal event prediction from dashcam footage — brake timing prediction (BDD-A) and binary crash prediction (CCD) — using Gemini 2.5 Flash. Contrary to intuition, more reasoning degrades timing accuracy (zero-budget is optimal) while longer reasoning improves crash detection, revealing task-dependent scaling behavior. We further introduce iterative feedback refinement, showing that providing prior reasoning traces as temporal context significantly boosts accuracy without access to previous video segments.

May 2025 - Jun 2025

Model Predictive Path Integral Control for Obstacle Avoidance

Individual Project · California Institute of Technology

Sampling-based trajectory optimization with CVaR risk metrics for safety-critical obstacle avoidance, achieving 100% success across 20+ randomized environments with 87% reduction in safety violations.

MPPI Go2 Simulation MPPI Go2 Rollouts
Apr 2025 - Jun 2025

ROS 2 Autonomous Pac-Man Explorer

Team Project · California Institute of Technology

Full ROS 2 navigation stack for autonomous maze navigation on a Raspberry Pi robot, with dual-tree RRT-Connect planning and scan-to-map LIDAR localization at 200 Hz.

ROS 2 Pac-Man Robot Pac-Man Robot Demo
Feb 2025 - Mar 2025

Autonomous Exploration of Unknown Environments

Team Project · California Institute of Technology

Integrated SLAM with entropy-driven A* planning and hybrid particle/Kalman filter beacon mapping, achieving 38% greater exploration efficiency than human teleoperation.

Autonomous Exploration Demo
Oct 2024 - Dec 2024

Dual-Arm Volleyball-Setting Robot

Team Project · California Institute of Technology

Closed kinematic chain control for a dual-arm volleyball-setting robot using Franka Panda arms, with hierarchical task-based IK ensuring velocity cancellation for vertical ball ejection.

Dual-Arm Robot Demo

Teaching

Winter 2026

ME/CS/EE 133b Robotics

California Institute of Technology

Teaching Assistant

Fall 2026

ME/CS/EE 133a Robotics

California Institute of Technology

Teaching Assistant